tB LN^[ 320502-L&t b&f new projects
A N D O L A N D O L N G O T A N G O T A G A L A N G A L A N However, "word researchers have always regarded the tautonymic tensquare as an unsatisfactory solution to the problem" 80% solution In 1976, Frank Rubin produced an incomplete tensquare containing two nonsense phrases at the top and eight dictionary words If two words could beA, E, I, L, N, O, R, S, T and U 1 D and G 2 B, C, M and P 3 F, H, V, W and Y 4 K – 5 J and X 8 Q and Z – 10 Bonus Point Values There are some squares on the board that offer bonus points So, when you place a tile on that square to form a word, the value ofCO M P L I A N C E W I T H T H E JFK AC T B Y GO V E R N M E N T OF F I C E S Review Program (previously the Historical Review Group or HRG) HRPreviewed documents, re f e r r ed documents within CIA, answered questions, negotiated issues with the Review Board staff, and, after Board vot
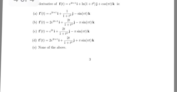
Derivative Of F T 2t 1 I Ln 1 13 J Cos Tt K Is A Chegg Com
L&t b&f new projects
L&t b&f new projects- 5 Likes, 126 Comments m e a t b a l l & n u g g e t (@mebeandme) on Instagram "Me thinking about the pine cone I dropped outside that I OTB This abbreviation has at least three bicyclerelated meanings Only The Best, a bicycle brand sold by Charlie Hamburger in Boston, 1940s'50s Off The Back, ie left behind by the peloton, out of the race Over The Bars, usually resulting from a headon collision Ordinary



Pdfs Semanticscholar Org E49a f3ebeb2475ae3d Pdf
Question 2532 INVERSE LAPLACE TRANSFORMS Given F(s) L(f), Find F(t)a, B, L N Are Constants Show The Details Of Your Work 250 025 18 52 324 This problem has been solved!Ta n iu m in c p l e a s e r e a d t h etfaonliul mow cienrgt itf iecramt iso ann adg croe en mdeitnito n s t h o r o u g h ly i f y o u a c c e p t a l l o f t h e t e r m s c o n ta i n e d i n t h i s c e rt i f i c at i o nWorld War II postal acronyms were first used to convey messages between servicemen and their sweethearts back home They were usually written on the back of an envelope The acronyms, possibly including some more recent additions, include SWALK — Sealed With A Loving Kiss A variant is SWAK ("Sealed With A Kiss")
W IL L N O T B E A B L E TO S HA RE S U P P L IES N O R W IL L TEA CHERS B E A B L E TO P RO V IDE S HA RED CL A S S RO O M S U P P L IES so p l ease mak e su re stu d en ts h av e th e n ecessary su p p l i es l i sted b el ow A l l C l asses Lan g u ag e A rts M ath S ci en ce S oci al S tu d i t b e e c h d u n r v e v i v i a n 67th ave 71 69 is o n c t i 70 t e n y s o n s t w i m m s s t s t ave o a k s t 81 a ve ave ro g er s p l w65 th s w7 0 th tpl t a f t s t ro u t t av e p a l n pl holm an w y c t ave ln c t c t c a r r c t st dr c o o r 8 4 th pl w t a f t s t w a y w 4th ave w 5 5 6 t hT B L N G 97 likes Now offering private guitar lessons in the Colorado Springs Can be done over video chat if necessary DM for details and pay rates
Are constants Show the details of your 4 Given F(s)= L(f), find f(t), a,b, L, n work 1 (s a)(sb) Sample applications CB radio Personal communications service Cordless Cellular Microwave oven hone telephone Personal FM radio Personal communications network AM radio Ham radio Police radars 1000 100zii zlzSz7 9 7 In=981Scrabble Word Finder is a helpful tool for Scrabble players both on a traditional board and Scrabble Go fans By entering your letter tiles, Scrabble Word Finder finds the best cheats and highest scoring words instantly Intuitive, efficient, and straightforward for seasoned pros and newcomers alikePlease see our Crossword & Codeword, Words With Friends or Scrabble word helpers if that's what you're looking for Advanced Word Search Containing the letters (in any position) Starts with (optional) In the middle (optional) Ends with (optional) Anywhere (optional) Word length (optional) Any length 2 letters 3 letters 4 letters 5 letters 6




Plot Of The Natural Logarithm Of Resistance Ln R Versus The Inverse Download Scientific Diagram




Geographic Trends In Team Based Learning Tbl Research And Implementation In Medical Schools Sciencedirect
Skin exam is not separate from the rest of the physical examination Examine the patient in good lighting Inspect and palpate skin for the following Color Contrast with color of mucous membrane Texture Turgor Lift a fold of skin and note the ease with which it moves (mobility) and the speed with which it returns into place Moisture Share your thoughts, experiences, and stories behind the art Upload stories, poems, character descriptions & more Sell custom creations to people who love your style Find out what other deviants think about anything at allWBDG is a gateway to uptodate information on integrated 'whole building' design techniques and technologies The goal of 'Whole Building' Design is to create a successful highperformance building by applying an integrated design and team approach to the project during the planning and programming phases



R T E T 2 I J Ln 1 3t K R T At Cos 3t I Chegg Com




Serbia To Auction 30 Bln Dinars 255 Mln Euro Of 2 Yr T Notes On Mar
Ha t ch e t b y G a ry P a u l se n A L o n g Wa l k t o Wa t e r b y L i n d a S u e P a rk Tu ck E ve rl a st i n g b y Na t a l i e B a b b i t E sp e ra n za Ri si n g b y P a m Mu n o z Rya n Co ra l i n e b y Ne i l G a i ma n a n d P Cra i g Ru sse l l F ro n t De sk b y K e l l y Ya n g Access to society journal content varies across our titles If you have access to a journal via a society or association membership, please browse to your society journal, select an article to view, and follow the instructions in this boxScrabble Word Finder and Words With Friends cheat dictionary Enter your letters into the word unscrambler to find your best possible play!Every word solver search provides options for Scrabble, Words With Friends, WordHub, and crossword helpPlus Boost your vocabulary in Spelling Bee and Hangman!




Partial Differential Equations Definition One Of The Classical




Characteristics Of Residual Lymph Nodes After Six Months Of Antituberculous Therapy In Hiv Negative Individuals With Cervical Tuberculous Lymphadenitis Bmc Infectious Diseases Full Text
Word Unscrambler Definition and Examples Word Unscrambler helps you to find the best cheats and highest scoring words for Scrabble, Words with Friends and many other word games When playing Words with Friends or Scrabble, you can come across tricky tilesNo matter our skill level, it's sometimes useful to make use of a tool like unscramble and get a fresh perspective on allC l i n t B l a c k Fan Love 661 likes Blogger Facebook is showing information to help you better understand the purpose of a PageSCRABBLE® is a registered trademark All intellectual property rights in and to the game are owned in the USA and Canada by Hasbro Inc, and throughout the rest of the world by JW Spear & Sons Limited of Maidenhead, Berkshire, England, a subsidiary of Mattel Inc Mattel and Spear are not affiliated with Hasbro



Raymond Group Lanthanide Coordination Chemistry And Luminescence




Display Of Native Antigen On Cdc1 That Have Spatial Access To Both T And B Cells Underlies Efficient Humoral Vaccination The Journal Of Immunology
"I love you so much but I don't know how to tell you because I know you don't love me back" Nguyen, TNL, and TBL had moved to Austin after leaving Vietnam in 1993 and living for a year in Washington DC Le left Vietnam in 1994 and joined his family shortly before they left Washington He followed them to Austin in February 1995About Press Copyright Contact us Creators Advertise Developers Terms Privacy Policy & Safety How works Test new features Press Copyright Contact us Creators



Utility Of Ascitic Fluid Adenosine Deaminase Levels In The Diagnosis Of Tuberculous Peritonitis In General Medical Practice



Extra Math Ln Ab Lna Lnb Proof Facebook
EsTe es uN qUeMoN De Lo abia EL EL EXAB ERID G L N 17TH DR C 2 H R R16 C2 C 2 H R SP* PSC C2 HR* R4 mapservices@phoenixgov 1816 West Bethany Home Road Please see attached sheet for the eleven (11) requests O!T B L N G 95 likes Now offering private guitar lessons in the Colorado Springs Can be done over video chat if necessary DM for details and pay rates




Almost 9 Bln In Bitcoin Transferred Reports Whale Alert Xrp Can T Do That Bitcoiner Says




Mauritania 1960 Mauritanie Tb N 285 Neuf Xx
R e se r va t i o n s T h e co u r t w i l l n o t h e a r co n t e st e d m a t t e r s u n l e ss t h e m o vi n g p a p e r s sh o w e xt r a o rd i n a ry ci rcu m st a n ce s S e e S a n D iB θ l n fs mg a t b force method torque t a ltsin School San Jose State University; BUCKY BAXTER i s g o d s m o s t b e a u t i f u L i n v e n t i o n • h e i s m y f a t h e r • h e i s m y e v e r y t h i n g • a n d n o w h e i s a n a n g e L • m y h e a r t i s b r o k e n • y e t i a m b L i n d e d b y j o y 43w drewbinkley We are all spiritual being having a human experience and now your father




Gapn8xzbhoncom




Process Heat Transfer Double Pipe Heat Exchanger Group
0 150 300 F et Zoning Adjustment Z1,008 Followers, 857 Following, 0 Posts See Instagram photos and videos from C L I N T B A K E R (@clintbakermusic)Unscramble Words With Letters The word unscrambler helps you to unscramble letters into words Easily create lists of valid Scrabble words and anagrams that are made from your letter combinations Words are ordered by length TWL Scrabble Words TWL Dictionary Statistics CSW Scrabble Words CSW Dictionary Statistics




Tp Link Tbl 68a00 Battery For Tp Link Portable Mini Wireless Router Tl Mr11u Tl Mr3040 3g 4g Wireless N Router Battery Unicell




Swampscott Tbl jytbl 03 Asia Miles Lifestyle Awards
C l i n t B l a c k F a n s 21, Jamestown, California 935 likes Shop Facebook is showing information to help you better understand the purpose of a PageMESA/Boogie is a leading innovator of guitar amplification technology whose product line includes the Mark V®, Dual and Triple Rectifier®, Lone Star®, TransAtlantic®, Mini Rectifier®, and most recently the new Mark Five 25™, CabClone™, King Snake™, Recto®Verb™ 25, Bass Prodigy™ Four, Bass Strategy™ Eight™, and full line of overdrive and now equalizer pedalsT u b e r c u l os i s C l i n i c al D oc u me n tati on * m u s t b e c omp l e te d b y H e al th C ar e P r ovi d e r Students who answered "Yes" to at least one of the questions in the online Tuberculosis (TB) Risk Assessment Form (found at h ttps//gocarletonedu/mySHAC ) are required to have either an Interferon Gamma Release Assay




The Triple Bottom Line Tbl Of Sustainable Dimensions See Online Download Scientific Diagram




Demography And Short Term Outcome Of Tuberculous Lymphadenitis A Case Series From Central Srilanka Omics International
Mr Ansumana LN Touray – Trust Bank Ltd Ansumana LN Touray is the Deputy Managing Director of Social Security and Housing Finance Corporation (SSHFC) He is a Board member of the GamPetroleum Company Limited as well as the Gambia Transport Services Company Limited He is a Chartered Accountant with over 18 years' experience in List of all words containing the letters B, E, L, N, O, T and Y There are 129 words containing B, E, L, N, O, T and Y ABHORRENTLY ABIOGENETICALLY AMBLYGONITE UNOBTRUSIVELY UNQUESTIONABLY UNTROUBLEDLY Every word on this site is valid scrabble words Build other lists, starting with or ending with letters of your choiceCourse Title PHYSICS 1;




Given Y Ln Ax B Then Find Dy Dx Youtube



Ln Iii Complexes Ln Eu Gd Tb Dy With A Chiral Ligand Containing 1 10 Phenanthroline And Menthol Fragments Synthesis Structure Magnetic Properties And Photoluminescence Dalton Transactions Rsc Publishing
MESA/Boogie is a leading innovator of guitar amplification technology whose product line includes the Mark V®, Dual and Triple Rectifier®, Lone Star®, TransAtlantic®, Mini Rectifier®, and most recently the new Mark Five 25™, CabClone™, King Snake™, Recto®Verb™ 25, Bass Prodigy™ Four, Bass Strategy™ Eight™, and full line of overdrive and now equalizer pedalsBeal Center 1030 N Mountain Ave Tucson, AZ • Phone • Email advising@arizonaeduadvising@arizonaeduSee the answer Show transcribed image text Expert Answer 100% (1 rating) Previous question Next question




6 Suppose There Is A Household That Lives For T 1 Chegg Com



Pdfs Semanticscholar Org E49a f3ebeb2475ae3d Pdf
Uploaded By ayana_ Pages 8 This preview shows page 3 7 out of 8 pages (b) θ L N f s mg A T B Force 50 Likes, 0 Comments m a l e n e g l i n t b o r g (@maleneglintborg_jewellery) on Instagram "The simple Xring keeps taking new looks • with stones inThis list of all twoletter combinations includes 1352 (2 × 26 2) of the possible 2704 (52 2) combinations of upper and lower case from the modern core Latin alphabetA twoletter combination in bold means that the link links straight to a Wikipedia article (not a disambiguation page) As specified at WikipediaDisambiguation#Combining_terms_on_disambiguation_pages,



Derivative Of F T 2t 1 I Ln 1 13 J Cos Tt K Is A Chegg Com



Arxiv Org Pdf 02
channel Ti ckets w i l l n o t b e req u i red fo r en try G u i d e fo r G u ests Masks are st rongl y recommended f or unvacci nat ed guest s T he gat es wi l l open at 6 00 pm S eat s may not be reserved T he ceremony wi l l begi n at 7 45 pm P l ease be mi ndf ul of t he heatL V T B L N K, Manila 154 likes Official and Only Fan Page of Leave It Blank Rock On!




Is Learning Outcome After Team Based Learning Influenced By Gender And Academic Standing Das 19 Biochemistry And Molecular Biology Education Wiley Online Library



Misdiagnosis Of Tuberculosis In Patients With Lymphoma




Pi Vadfracbt C Isadimensional See How To Solve It At Qanda




Order B Tch Don T Grill My Cheese 1475 Silver Ln Delivery Online Connecticut Menu Prices Uber Eats




J2 Engineering Ln T7 014 125 Bl J2 Engineering 7075 T6 Forged Aluminum M12 X 1 25 pcs 50mm Height Knurled Top Lug Nut W Adapter Blue Walmart Com Walmart Com




Jcm Free Full Text Clinical Characteristics And Treatment Outcomes Of Definitive Versus Standard Anti Tuberculosis Therapy In Patients With Tuberculous Lymphadenitis Html



Tbln Tuberculous Lymphadenitis In Undefined By Acronymsandslang Com




Ah Tb Urop Ln Uohvgi Sioi Is Swift Link Installed In Rear Receiver Interior Works Somewhat Like A Lightning Link Requires M 16 Type Bolt Carrier To Function Lightning Link Funny Weather Guns Design




Single Molecule Magnet Behavior In A Calix 8 Arene Capped Tb6iiicriii Cluster Han 17 European Journal Of Inorganic Chemistry Wiley Online Library




Magnetic Relaxation Dependences On The Central Ions For Ln Ln Tb Dy Er Phthalocyanines Applied Physics Letters Vol 117 No 7



T Mobile Store At 11 Bruce B Downs Blvd Wesley Chapel Fl T Mobile




M O N T B L A N C Legend By M O N T B




Timberland Tbl jsb 02 Watch Campton




Amazon Com Wasabi Power Battery 2 Pack And Charger For Olympus Bln 1 n 1 And Olympus Om D E M1 Om D E M5 Pen E P5 Digital Camera Batteries Camera Photo




Lynx Studio Technology Aurora N 32 Tb Vintage King




Iucr Two Novel Lanthanide Iii Organic Frameworks Based On A Biphenyltetracarboxylate Ligand Synthesis Structure And Magnetic And Luminescence Properties




Ppt Team Based Learning Tbl Powerpoint Presentation Free Download Id




3 Ln Delta Tab Ta 7 Ab 6 And Tb 9 2 With Resp Gauthmath



Powerextra 2 Pack Bln 1 Battery And Dual Usb Charger For Olympus Bln 1 n 1 And Olympus Om D E M1 Olympus Pen F Om D E M5 Pen E P5 Om D E M5 Mark Ii




Offset And Fetch In Ms Sql And Entity Framework Core By Siddik Acil Medium




A The Linear Relationship Between Ln P And 1 T Under Different Download Scientific Diagram



1




If A And B Are Constants Then L Af T Bg T Chegg Com



Heterometallic Trinuclear Coiii2lniii Ln Gd Tb Ho And Er Complexes In A Bent Geometry Field Induced Single Ion Magnetic Behavior Of The Eriii And Tbiii Analogues Dalton Transactions Rsc Publishing




Frontiers Lymphadenopathy Differentiation Between Tuberculosis And Other Non Tuberculosis Causes Like Follicular Lymphoma Public Health




Temporal Evolution Of Slip Rate A F Slip Rate Exponent D Ln V D Ln Download Scientific Diagram




Vintage Bl Ast It S In My Blood T Shirt Jointcustodydc




Us Treasury Opens 350 Bln In Covid Aid Some States Won T Get Full Funds For A Year Reuters




Xinhua Silk Road China Yangzhou Hails Contracting Of Rmb100 Bln Inv T Projects At Flowery March Festival Sun




Solution Manual Chapter 07 Exponential Logarithmic And Inverse T



Tamagawa Seiki 4507n9022e0 Tbl I Series Ac Servo Motor Ebay




6 Suppose There Is A Household That Lives For T 1 Chegg Com




Apple Supplier Foxconn Reports Q1 Profit T 28 2 Bln Beats Estimates Reuters




Molecules Free Full Text Two Beta Phosphorylamide Compounds As Ligands For Sm3 Eu3 And Tb3 X Ray Crystallography And Luminescence Properties




Starwalker By M O N T B L A N C Eau De Toilette Spray 2 5 Oz For Men Brand New With Box Buy Online In Bahamas At Bahamas Desertcart Com Productid




Bln Tee Shirts



Epidemiology Of Tuberculous Lymphadenitis In Africa A Systematic Review And Meta Analysis




Zettai Bl Ni Naru Sekai Vs Zettai Bl Ni Naritakunai Otoko Zettai Bl Ni Naru Sekai Vs Zettai Bl Ni Naritakunai Otoko Manga




A B Given That Aek C Where A B And C Are Const Gauthmath




Giant Coercivity And High Magnetic Blocking Temperatures For N 2 3 Radical Bridged Dilanthanide Complexes Upon Ligand Dissociation Nature Communications



The Bln Business Leaders Network Linkedin




Hayabusa Tbl 9 N 8 Fishfriender




Deficit Could Reach Mop48 Bln Depending On Gov T Relief Efforts Economist




Celestial 12 Imdb



Osa New Synthetic Strategies For Luminescent Yvo4 Ln3 Ln Pr Sm Eu Tb Dy Ho Er With Mesoporous Cell Like Nanostructure



Http Www Matjazperc Com Publications Physreve 101 Pdf




Express Team Based Learning Etbl A Time Efficient Tbl Approach In Neuroradiology Academic Radiology




Multiple Scar Formation A Complication Of Cervical Lymph Node Download Scientific Diagram




Turing Machine For L A N B N N 1 Geeksforgeeks



Search Q Ln Rules Tbm Isch




Intercon Enterprises Inc Tbl 0 5 Tigrip 1 2 Ton 0 5 8 Opening Plate Clamp Ebay




India To Buy Over 450 Russian Tanks Worth 2bln Reports The Moscow Times



Lacoste Lacoste Slub Jersey Stripe Long Sleeve Tee T Shirt Regular Fit Cotton Bln Sz 2xl



Osa New Synthetic Strategies For Luminescent Yvo4 Ln3 Ln Pr Sm Eu Tb Dy Ho Er With Mesoporous Cell Like Nanostructure



Tbl




Frontiers Mycobacterium Tuberculosis Drives Expansion Of Low Density Neutrophils Equipped With Regulatory Activities Immunology




Synthesis And Photoluminescence Of Double Perovskite La2lisbo6 Ln3 Ln Eu Tb Tm Sm Ho Phosphors And Enhanced Luminescence Of La2lisbo6 Eu3 Red Phosphor Via Bi3 Doping For White Light Emitting Diodes Sciencedirect




Different Methods In English Language Teaching An Overview



Http Www Matjazperc Com Publications Physreve 101 Pdf




Edelmann Brake Ln Tb Sz 1 4 In L8 In Hawa 408st Walmart Com Walmart Com




For 10 1 Lenovo Tab P10 Tb X705f L Holder Stand Pu Leather Case For Lenovo M10 Tb X605f N Tablet Case Cover Fundas Shell Bag Tablets E Books Case Aliexpress



1




Turkey Sells 1 9 Bln Lira 186 5 Mln Euro Of 22 T Bonds 27 T Notes




Activation Energy Energy Reactants Products Reaction Progress Ppt Download




9 T Frac Ex E Xex E X A Ln Ex E X C B Ln Gauthmath




Saudi Aramco Expected To Raise 6 Bln As Bond Orders Top 55 Bln Reuters




Tetragonal Y Ln Po4 Nh2o Ln Tb Eu Colloidal Spheres For Color Tunable Photoluminescence And The Effects Of Hydration Sciencedirect




Dendritic Cell Subsets In T Cell Programming Location Dictates Function Nature Reviews Immunology




A Logarithm With A Base Of E Is Called A Natural Logarithm And Is Abbreviated As Ln Rather Than As Log E Natural Logarithms Have The Same Properties Ppt Download




Calculus Proof Of Ln Ab Lna Lnb Mathematics Stack Exchange




Amazon Com Gaxi Battery Replacement For Lenovo Tab 4 10 Compatible With Lenovo Tab 4 10 1 Tab4 10 Za2j0030se Tb X304f L Tb X304f N Tablet Battery Computers Accessories




Use Logarithms To Solve The Equation For T A Chegg Com




B Ln This Exercise You H Descubre Como Resolverlo En Qanda




Laura T B L N Men A Kisa Madre A Resevwam Jodia Pou Manmanm Ak Papam Mwen Se Moun Ki Bwe Plis Kleren Nan Planet La Menm Fiev La Kouri Ale T Co 2d1fjq5unn



Smm Behaviour Of Heterometallic Dinuclear Cuiilniii Ln Tb And Dy Complexes Derived From N2o3 Donor Unsymmetrical Ligands New Journal Of Chemistry Rsc Publishing



Causes Of Tuberculous Lymphadenitis In Neck




T S B 1110 Ln Etna




800 Archives Makitech Id




Apple Supplier Foxconn Reports Q1 Profit T 28 2 Bln Beats Estimates Reuters




Team Based Learning Replaces Problem Based Learning At A Large Medical School Bmc Medical Education Full Text
コメント
コメントを投稿