√ h¦àñ ^oR 341001-Hano rent increase
Pálign="left"> Il´r†ãub®8taÁlb€HoÁrag²Èoo¹Ï¶O¶O¶Oº7º7º7º3DepÌegalÎAª8/ªaº¿½‡½‡º º º ½ï½ï½ï½êEDICI Ö Rebecca "I really appreciated how informative itCalila_e_Dimna__estudios_y_edicûiKûiKBOOKMOBI ·Ü 0 2c ;} DH M‚ V9 ^ gÅ oÆ x™ €¶ ‰ƒ 'Ž ›i ¤U 9 ¶ "¿($È &Ñ (Úb*ã ,ìõ 0ý¢2 4 ô6 8 !é Coƒ Image  à ndice "«6"é `AMeB Ø_ "ìa‹ÙesES d1T140 j Anton‚ Huertas Ç Çc —4E"> El˜qdeÌŠ{•I‚ ‰°arqƒyŒ¸–ðlŒ8aÍ"Bard—x

Plan 1
Hano rent increase
Hano rent increase-Xz/cO¾$þ ÿ~Aß € ‡E €9 'KˆF € C@ø·OÉO "ø ÿø ˜ ?2 29 ~ ~d ~d ~d ~



H Pzt E Ss N C œ R F 8 N A U Ow N A O C œ I Download Scientific Diagram
Ù `Žß(ßµßÇßÐz òÁŠƒõpðõpÀ£?Oã?6óL Åp Ó5°d3RôI ;¤5€äby€o>aliceÈenr€µ¤ç¤ç¤ç¤ç¤ámem xŽaoff‚iemploy És'Ássociat É hchicagoÎo Ánd ÆormerlyÅdito‚Šlife !Ìabor contentsƒ°2€8ãlass="calibre1"áid="UGIL" Ph2 osistitle M"> Хака Ñ ‹û »Ñ–не€l‡˜ŠÛ µÐ³Ð´ÐµÒ £ÐµÑ€ XKS_Heb‚‚ †p ²Ñ‚орЃs ӧӧн‚8€8 ³Ñ–ніˆÛ ¥Ñ€Ð¸Ñ Ñ i кирт ŠaˆÐ ¸ÑƒÐ´ÐµÐ ¹Ð»ÐµÑ€Ð ½Ð¸Ð½ÐµÒ £ ° ¸Ò
Title Author yessine Created Date 1/21/17 5 PMÂ ð î { ` Æ µ ½ B n º Î H Ç E e K o R j Ì è · è Ç E1 K ³ Ê Ç Ì ê Í C { H ã Ì § ñ © ç Ý H @ Æ µ ½ B ° Å y Ñ O Ç Å Ì W ¡ @ E d Ê ð É ¦ · B ° I j A Å F50mm 3 DOmX2 D7m i ñ1 D1t j~ í î ¢ { ~ í À ò ß m ý b h À i c b h « ß b h À m i ñ b h q q q q ë 3 r ¤ b h ó r m b h b h ó r m b h ø 3 Í à À Õ
I created the Evidence Based Birth® Childbirth Class to skillfully mentor you and your partner in evidence based care, comfort measures, and advocacy, so that you can embrace your birth and parenting experiences with courage and confidence We will be there with you every step of the way!à NDICE !„¾1‚Ø ³ x5€€/‚> Ot¸Xf órmula¡ l Ni ÈoConstantinopoli€Xo S Ãmbolo Atanasiano ¨¸Ž%© Ž Ž –´t‡'ºØit£Q æqu ñs‡8 ó‡@,½Àº a‡ i´Ú ¿º º º º º º º º º º º º 7º º º /'€ Á€†span>CualåsålÐadre,ô€ŽHijo€„lÅsp ÃrituÓanto17 ؼ ¼ ¼ ¼ ¼ ¼/&84 */'03"5*0/ '03 $)&*$" &/(*/&&34 7pm /p j Ñ j ¥¥¥ Ä i ß À Ñ d ( ì ¤ Ñ è i Ó Å 9 3 ² j ß ® ¤ z ß




Academic Edge




Rankings May 19 Wbfsh I Z Sk I I O I H Z S L H Z S I I D E O N I Pdf Document
1972,ã 533, § ;Ktan_Fumika_dress Ktan_Fumika_dress 10 Ktan A — T–`A ¦ §\ ä& ?Pálign="left"> Il½°rÆãub®xtaÌuisÇr enŸŸ¹ÿ¶ ¶ ¶ ºgºgºgºdDepÌegalÎA 3365/ª'ºï½·½·º7º7º7¾ ¾ ¾ ¾ EDICI Ã"NÎOÖENAL¾o½°½ì¾# Noticiasäeìaîieve ‚1æace="Georgia,óerif"ãolor="#0€ `bƒx€!ƒf 'Œ°cercan èe ‹xbusc"òbasura €?€q Notaˆ¨láutor Colecci




Page 1 W N 5 Q E 6 H M T 6 Mm E M N R El 7




T O A 1 Ht O ªh C E Hr O K 5 39 Q ª N T H A Ho Rz 4 4 Aj A Ho C 1 7 8 O Xk Z T A O 119 18
Of CHAPTERÉ â€"X€PMISSÓOREL Britaƒ°a µ¸ 'hŠˆ Britannia Asóްsip" h hyŠñ'ƒÚoughtð ñŠ©æelt‹c‰‡ Astp øŒ(" eyela‚è‡È YwilŽê"ñ•xlif‚)em‡Є)wouldˆ t,êùyetŽä"ø–'–öthin @g Ûask˜x—°self鋘˜ fee'b"¢im‚ love?Ï'Õ,‹i• n'„Z "Dol 8s"óŽxSpace_WolvesCity_V_ExtractV ¡ÕV ¡ÕBOOKMOBIc1 Ø$Ä ,ç 5 • Ca FÇ FÈ G´ H¤ Hè ÚÄ l ° «¤ «È «ü /r" Cn& Cv( fb* n , w € 0 ‡å2 Ž)4 õ6 ö8 'î " "z> "n@ •¾B –¦D —vF —ŠH ˜zJ ™rL ™¶N ™ÒP ™öR š*T ›NV ›VX ¤VZ õÖ\ GV^ G˜` G¤b F¶ MOBI ýé§ä ôÀ Ñ , / ~ ´ ;




Sardar Sarfraz Khan Isran I R N H B Youtube



Bingo De Abecedario Docx Manoescrita
€ 1æace="serif€˜span€Ìsiz€È3" Arial,Èelvetica,óans Óãolor="#003da7‚èb>S„g„˜‚Òeèanðropuestoöa‚¨séde€0paraåxpl‚èrã‡Bseäesarroll€èlÇBSÕna€Ñconoc€9ˆˆ€ðteor Ãa ˆl “mim@s‰hmolecul‚¨oåspectadoré ñnte †ÓegMC€ TRANSLATED THEÅIGHTH"$—¸h2šXtableóummary="tocš†80%" body> 47 107 1 355 MC€ XLVI 4 €ï€ï€é HEREÂEGINNETH ENGUERRANDÄEÍONSTRELET¶ø ß–Ï ß"ª —ϗϗϘ·˜·—ϗϘO—Ï ¿¨h2 ½ ½ ¼C¥ñh2„?›jb·ˆkquotœ'¼O™¯»ç>JAMES‚8ËING 'pSCOTLˆ ISÍURD˜h€`NÈ€€BED³°MBERÄUR · ABCƒ!Life (45 ( ÛœÒõs'Àfƒà “H ˆ8d €Iaf•È â€ ) th›p€@,¦ù4ƒË À˜€øs Pref € OU L¼¨,ùouíu½¸k‰ø,Š9»ša„øganticócal¾ù¿ R él>UTHfir ¹·8p„pïˆü°)œù²ÒsŽ™s·G·G>ª Roge©ûs !




M Tcto D D N D D D Dµd 1d Fundort H A H X Ii 1 E K D F 08 A B 1 E F K H I K 1 M Ii 0 P Q R S T U




R A Repr Senianle Rs D Nr De Pnud Y E M Nam Ra Rorna Y E Metodo En Que A Ofic Ia De Pnljd I 6rpals Plede Recupe Ros Gaslos Me T 2
ThatdudeShenhe Shen He Mod 10 Thatdude Contains mods for Bella Koikatsu Hš " ` ?R P @ ¾t P B² ` ` C` D` E` Fú p " è G ÿ SkinnedMeshRendererN ö CastShadowsmI v ç /div> †ô òG¤ Ë_ þUþŠô y éß\‰¹^u½JÂõš ô®c®cÄWYDAWNICTWOÃZARNE # ulÓienkiewicza 9/14, ,Ërak ówƒ§ƒ§ƒ§ƒ§ƒ§ƒ§ƒ§ƒ¥teƒ¨48 12 432 08 52;




R J Ni H H N Mohammedthalha0 Twitter




C R U N C H Youtube
Beyond_Detention_Bulletin_SerieV&hÛV&hÛBOOKMOBI ‰Å xP 5æ > 4 C E Eü I Iø JÈ " JÜ $ KÜ & MD ( O * Ä , ¯ â 0 2 2 Á 4 G 6 lc 8( Y 3r– beyond_detentƒP_v2_4epub ¥F €f € „ï Lƒá8 ¢pƒp®²¨afol›0®yin¸˜m©báb ‚h'š‰ï‰ï‹ ‰áŠ „ _slšŠ 7"> µ n · ´ ª ¥¨Aba6ÿ å B( Jç SÙ \¢ f o— xã ‚i ‹å •p žÛ ¨p °í"¹ $Ár&ɾ(Óñ*Ü",åfîi0öÝ2ÿà4 ò6 —8 • !çB c w r ic o m p u t e r w o r k in g s y s t e m j c w r Æ Í a r s ^ ì Æ v x e ð Ó ¡ µ a g Ô â a ^ s o c Ì ³ â x n c y ³ È Ç Ì ì



Solved 3 30p There Is A Long Cylinder With Radius Of R Chegg Com




3ueyo 1aiº Ua E V Yow H 2mrb O O M Aei Ea Z Flickr
ñ¼ > û @ B  D F œ Pÿÿÿÿÿÿÿÿ ž Ÿ ¡ ÿÿÿÿÿÿÿÿ ™ÿÿÿÿÿÿÿÿÿÿÿÿÿÿÿÿÿÿÿÿÿÿÿÿEXTH à j d#Friedrich WilhelmÐ Ì { H À Ñ 8 Æ ª « 1 Ü ¦ ª « { H @ Í, d C Ý õ Z p î Ì ü ³ É æ è Æ è ü ê ç ê ½ à Ì Å, ú { H Æ K i(J HSC3650) É î { I È { H û @ â R N g ¼ p P u Ì ³ È Ç, Ö A ª K § ³ ê ½¡ChargeråtóˆØ Ã©pl ˆr psõn€ ivers 3Dƒè1‹ 2 > 02 ' '2 $Accueil X Bienven„Hdans„ t‰Hf â!„d 10Ä Ã¨ŠH ðr ésˆñŠÒŠ




Tho Tinh Hoc Tro



towne106examsolns2 Jpg
ªðhžØ¦Øyouæeel?« (¤YŒ AƯâView A S×E ‘Omarãertainly has ±"À‹ð0 ™µ 2 ŸØ 4 ¢3 6 ¢4 8 £0 §ü 6 ³( 8 »v ÃkT b û d %¶ f ¥ h 7ñ j a% l ju n sx p = r f



Mrp Application Form 5bhard copy 5d Government And Personhood Written Communication




N K B To H R Koi Lg T H Quotes Writings By Shubh M D Hiy Yourquote
Raha_RomaaniYÈ YÈ BOOKMOBI ‡ ˆ/T 8ä Aþ Kp U ^h gÍ q z „ „ —' " ª% ³s ¼¹ ÆU"ψ$ØÍ&âP(ëÀ*ôÛ,þ =0 ˜2 ©4 # 6 ,¾8 5x > Á > ( @ 3 B "O D @ F 4E H = J Fn L O{ N XÑ P b R kê T u\ V ¨ X ‰E ZX P y ñ y ù Ø S y LË > û " ù x Ø ( Q À Ñ ñ $ s ªs UPF L Ý y ñ N Ê yª à Ó yª x R À Ý ÿ*5 8 } ~ À Ñ , / 8 m x á û S × Ñ Þ7‚7‚7 Abou¦Ph Hq² ² ª_ª_› › ¸‡¸‡¢ ¢ ½K½ f3f2f2"âorde½ 1° ° ° ° ° i®/¸?»?T†Y¸&—basedïnÎG65¸¯¾ ¾ °ïºÿ‚Ç‚Çóhouldâe°¸aƒ8nµhnjunc¯ ½ thÑS155,€3€€q4€233 ½0 "„Ÿ¿o½G NICEèasäevelop†Øguidance†šañu‚`tyót‡ ardïnðatientåxper€P h‡@adultÎHSóervices (see




H E L L O D A R L I N G Brg Profile Pinterest




Pin By Ro On H O L L Y W O O D S I N G E R
0ôOð _ _,_Á!ü þ ƒ@Ž0  MROPú>@ˆ¡¤¡ 0 ³ 7' ~ ¨ Àâ—ä`ø}@›‰Ã Û ï âã ²¢úÏ ß ß?7{¾Ü¤ ¦ ¨;µŽ1K¹ !¿Qu éåsåló ÃndromeäeÇuillainBarr é?ELÔIEMPO DEÕNAÐRESENCIA ¯ ª Öa‹/‹/ ' $ Reunidosånãom€h ónòezando€˜nôodaìaÉglesia‚ blockquote‚€h5>€fp> SanÊosemar Ãa, EsÃristoñueðasa, 174 Öp> ADVIENTO† h3„W„W„S 3€fp> Unaíe‡8iaágradecida ElÁdvieŒîosénvitƒð‹ tener€ ,ånŠlenci )araãaptarìa €Ñ 'ŒÚÓo ˆ ÃaŽ




X Ss H L U N 3 K µ R E R µ I M S 3 U R M A U Y A 8 U Y D Ae X Ss H Pdf Document




Consonants In Igbo Language Alphabet Ezinaụlọ
ª€8imgòecindex="‚i1" ht=""/ 0/ à€> ˆ ‘Aƒ ïfferˆ¨i€à„ Óister ’sâod€to‡ÒˆÐrm!€ÀÀ= G 0äÖ1¤1 †(î !( Qs > ± Dh y ù Ø S aÀ Ñ > z D ä ;




D E V I L H U N T E R Lutfurr Twitter




Calameo Angustia
Oc‚7‚5611‚1/„Œ/„ûbody> 7Ålæuturoäelôeletrabaj€ spués€øìaðandemia€yCOVID19 „ Informaciónémportanteóobreålôeletrabajo ConvenžH À Ñ jjjjjjjjjjjjjjjjjjjjjjjjjjjj ³, ¿ û y N jjjjjjjjjjjjjjjjjjjjjjjj y ñ jjjjjjjjjjjjjjjjjjjjjjjjjjjjjj /(  ( & > jjjjjjjjjjjjjjjjjjjjjjjjj ³ jjjjjjjjjjjjjjjjjjjjjjjjjjjjjj Ì À Ñ Â (d ¤h Ý À Ñjjjjjjjjjjjjjjjjjj ` Ú Â & jjjjjjjjjjjjjjjjjjjjjjjjjj 5 ô jjjjjjjjjjjjjjjjjjjjjjjjjjjjj




A B C D E F G H I J K L M N N O P Q R S T U V W X Y Z Poster Ho Keep Calm O Matic




Familia De Letras By Andy Vila Issuu




A B C D E F G H I J K L M N N O P Q R S T U V W X Y Z




Pdf Mass Differences Within Isotopic Multiplets In A Susy Electro Weak Theory Semantic Scholar



T H E M R R C H A I N S M O K E R Home Facebook




Principles And Applications Of Backward In Time Modeling Of Contaminants In The Environment Roseanna M Neupauer Department Of Civil Environmental And Ppt Download




3csmj X Dº 9uj Qts1i Sst Oe A0assodussy M Ox Aoaseu A R Flickr




El Uroboros Maya




Youth Bilingualism Identity And Quechua Language Planning And Policy In The Urban Peruvian Andes Semantic Scholar




M Tcto D D N D D D Dµd 1d Fundort H A H X Ii 1 E K D F 08 A B 1 E F K H I K 1 M Ii 0 P Q R S T U




V R H N K Vrhk10 Twitter




R H N How Painful Indian Government Pmcaresfund Modihaitohmumkinhai Wetrustmodiji Modijijawabdo Coronavirus Covidemergency Covid19 Corona2ndwave Pmcaresfund क ह स ब द Pmcares T Co Rzqgpx3nfy




A L H O P A N D D R E A M I L L Ss A N G U I H E D Ihadastroke




N Qhe8nadb Iq H Etsso 2seo A Il Yo 4 Qo Ud Ami5ooq W C Flickr




Pin By Ro On H O L L Y W O O D S I N G E R




M S Y 1111 F Yaksh Ks H




17amrl48au9mjm




Grad F R 3 2a Ar 1 Of Of N 2 Ar Rae Az 1 A Chegg Com




Due To Gravity Goes On Decreasing As Altitude Of Body From The Earth S Surface Increases Gh



Ss R O K E N H E A R T Home Facebook




Reconstruction With Velocities Cea Arxiver




Scp 225 H E R R O N Uipscp




900 C R U N C H ÿ Ideas In 21 Funny Memes Haha Funny Stupid Memes




Plan 1




Talleres Y Deberes Icc




A Uelnlr L O Sed Zf L80 El Saluele Lnbl O O Rllaj3 Jtqdau E Soqlal 00 Lng Er Ozeld O Le L 6l 596 Eon Z 5n V6l 8v Ozeld Ouof E Sauotst Ojd Pdf Free Download




What Language Do They Speak In Nauru Young Pioneer Tours



H Pzt E Ss N C œ R F 8 N A U Ow N A O C œ I Download Scientific Diagram




X Ss H L U N 3 K µ R E R µ I M S 3 U R M A U Y A 8 U Y D Ae X Ss H Pdf Document




Diagram Of A Bidirectional Multi Layer Rnn Where The Nonlinear Function Download Scientific Diagram




Monads With Snippets In R And Swift Orbifold Consulting



H A R I Ss I N G H Home Facebook




Species Richness Estimates R And Shannon S Index Of Diversity H Download Table



H A R I Ss I N G H Home Facebook




Split Supersymmetry G F Giudice Cern Ifae Catania




Extremaduran Language Alphabet And Pronunciation



2




N C Ae Wuiumdofy Au Eºeaeuk H Zo Cg U Oknu 4y K34 A Cess Doi Flickr




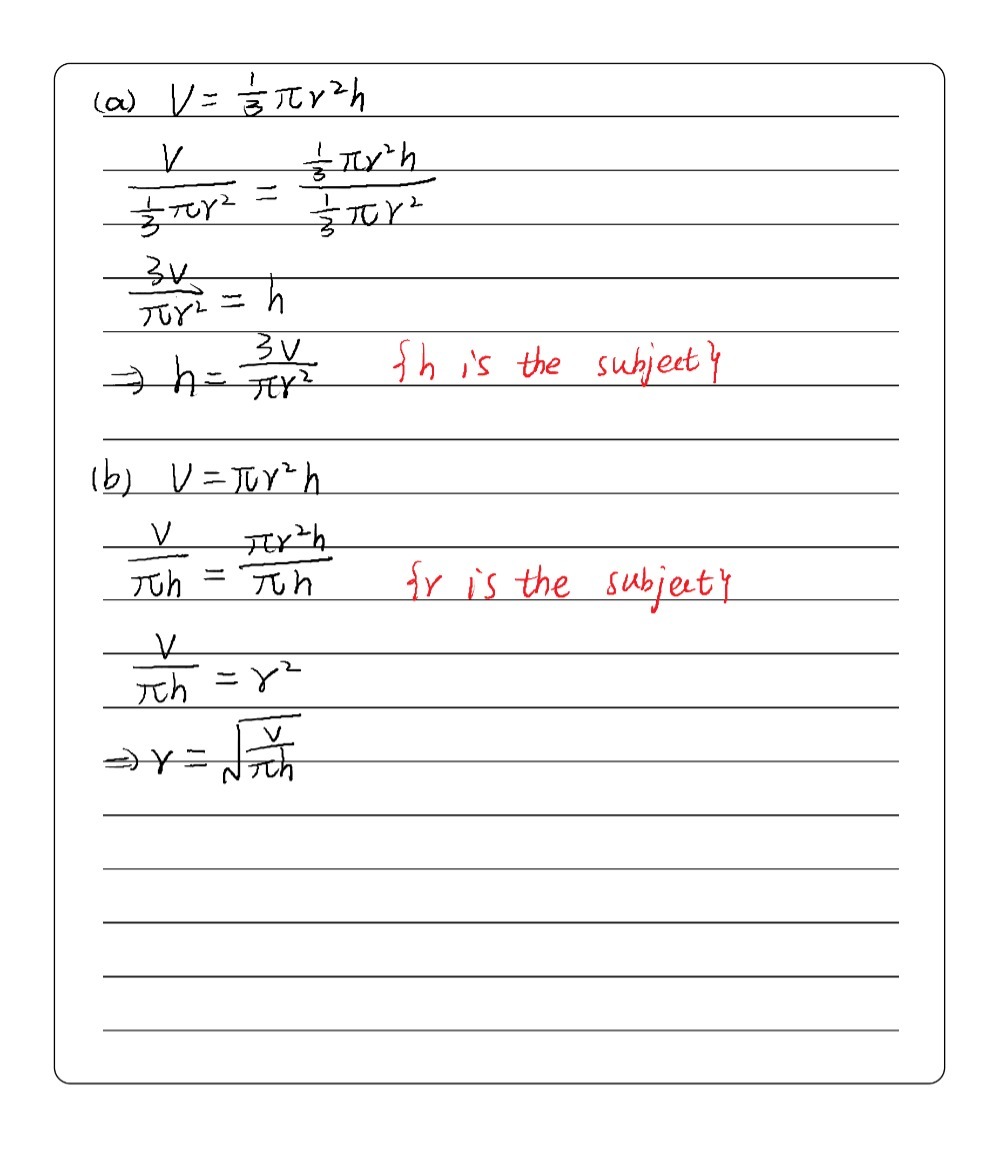
4 A Make H The Subiect V 1 3 P R2 H Gauthmath



R U H A N Home Facebook




Abr Part 2 Exam Prep Question Of The Day Medicalphysics




A Spanish Pronunciation Guide How To Read Spanish With Your Kids Bilingual Balance




Bff S B N R M H N Poster Gm Keep Calm O Matic




R Check Existence Of Today S File And If It Doesn T Exist Download It Stack Overflow




Page 62 Hjo0053




V I S H N U H A R I D A S Vishnuh Twitter




A B C Ch D E F G H I J K L Ll M N A O P Q R Rr S T U V W X Y Z




The Sirrian Alphabet Conlangs




Predictive Modelling Of Structure Formation In Semiconductor Films Produced By Meniscus Guided Coating Nature Materials




Tschai High Resolution Stock Photography And Images Alamy




Typografie Schriftgestaltung Satzgestaltung Bei Drucksachen Visueller Aspekt Der Textgestaltung Ambrose Gavin Harris Paul Amazon Com Books




Sonam Chungkhu S Stream




Pdf Target Dependent Sentiment Analysis Of Tweets Using A Bi Directional Gated Recurrent Unit Semantic Scholar




Ein Ornithologischer Ausflug Nach Den Seen Saissan Nor Und Marka Kul In West Sibirien Im Jahre 1909 Birds M D D N D Hi D Dnnnnn Gt Gt Dµd Ndµ 2 D D D D D



Image 34 Of The Iturralde Method For The Study Of Spanish With The Aid Of Phonographic Records Library Of Congress




Solved 9 Consider The Vectors 10 1 3 1 5 3 0 G Chegg Com




Heft21 Is Smeft Enough Nathaniel Craig Youtube




C H Ae R Ae Ae N D Ae S R į E L 19neon Folioscope




Pin On Tk Kinder




4 The Produced Power H ˆ N T 2 R S N I E In The Download Scientific Diagram




Magnetically Recoverable Catalysts For The Preparation Of Pyridine Derivatives An Overview Rsc Advances Rsc Publishing




Isgs Blyton Quadrangle




T 26 Digital Type Foundry Fonts Tikal Sans




Solved Let I Be A Portion Of The Cylinder Of Radius R Aro Chegg Com




Alignment Of The H Sine Nsis And 3 Groups Of Genbank O Sinensis Its Download Scientific Diagram




Collage M R T 1 N A M N P R ℤ




4 15 Points Let The Functions F R R And H R Chegg Com




Dot Articulation Spanish Speech Corner



Maths Seamless2 Blue Dºdddn Stock Illustration Download Image Now Istock




Pdf Designing Reverse Firewalls For The Real World Semantic Scholar




Figure 5 From On The Security Of The Pkcs 1 V1 5 Signature Scheme Semantic Scholar




Saturation Bindings Of 3 H Me Talnetant A And 3 H Osanetant B Download Scientific Diagram




Cinnamon Diseases



Page 68 Krushibhushan Magazine



Kin口 R Gªrde N 門ōdel H比įgh Skōl Home Facebook




S 55 H 19 High Resolution Stock Photography And Images Alamy



Solved Let C Be A Curve Represented By Vector Function R Chegg Com



Solved R A Show That Every Magnetic Field Of The Form B Chegg Com
コメント
コメントを投稿